🌍 Global Mirror — Visit original CN site →
Skip to main content

Staggered animations

How to write a staggered animation in Flutter.

Staggered animations are a straightforward concept: visual changes happen as a series of operations, rather than all at once. The animation might be purely sequential, with one change occurring after the next, or it might partially or completely overlap. It might also have gaps, where no changes occur.

This guide shows how to build a staggered animation in Flutter.

The following video demonstrates the animation performed by basic_staggered_animation:

Watch on YouTube in a new tab: "Staggered animation example"

In the video, you see the following animation of a single widget, which begins as a bordered blue square with slightly rounded corners. The square runs through changes in the following order:

  1. Fades in
  2. Widens
  3. Becomes taller while moving upwards
  4. Transforms into a bordered circle
  5. Changes color to orange

After running forward, the animation runs in reverse.

Basic structure of a staggered animation

#

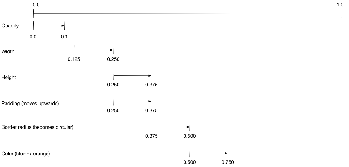
The following diagram shows the Intervals used in the basic_staggered_animation example. You might notice the following characteristics:

  • The opacity changes during the first 10% of the timeline.
  • A tiny gap occurs between the change in opacity, and the change in width.
  • Nothing animates during the last 25% of the timeline.
  • Increasing the padding makes the widget appear to rise upward.
  • Increasing the border radius to 0.5, transforms the square with rounded corners into a circle.
  • The padding and height changes occur during the same exact interval, but they don't have to.

Diagram showing the interval specified for each motion

To set up the animation:

  • Create an AnimationController that manages all of the Animations.
  • Create a Tween for each property being animated.
    • The Tween defines a range of values.
    • The Tween's animate method requires the parent controller, and produces an Animation for that property.
  • Specify the interval on the Animation's curve property.

When the controlling animation's value changes, the new animation's value changes, triggering the UI to update.

The following code creates a tween for the width property. It builds a CurvedAnimation, specifying an eased curve. See Curves for other available pre-defined animation curves.

dart
width = Tween<double>(
  begin: 50.0,
  end: 150.0,
).animate(
  CurvedAnimation(
    parent: controller,
    curve: const Interval(
      0.125,
      0.250,
      curve: Curves.ease,
    ),
  ),
),

The begin and end values don't have to be doubles. The following code builds the tween for the borderRadius property (which controls the roundness of the square's corners), using BorderRadius.circular().

dart
borderRadius = BorderRadiusTween(
  begin: BorderRadius.circular(4),
  end: BorderRadius.circular(75),
).animate(
  CurvedAnimation(
    parent: controller,
    curve: const Interval(
      0.375,
      0.500,
      curve: Curves.ease,
    ),
  ),
),

Complete staggered animation

#

Like all interactive widgets, the complete animation consists of a widget pair: a stateless and a stateful widget.

The stateless widget specifies the Tweens, defines the Animation objects, and provides a build() function responsible for building the animating portion of the widget tree.

The stateful widget creates the controller, plays the animation, and builds the non-animating portion of the widget tree. The animation begins when a tap is detected anywhere in the screen.

Full code for basic_staggered_animation's main.dart

Stateless widget: StaggerAnimation

#

In the stateless widget, StaggerAnimation, the build() function instantiates an AnimatedBuilder—a general purpose widget for building animations. The AnimatedBuilder builds a widget and configures it using the Tweens' current values. The example creates a function named _buildAnimation() (which performs the actual UI updates), and assigns it to its builder property. AnimatedBuilder listens to notifications from the animation controller, marking the widget tree dirty as values change. For each tick of the animation, the values are updated, resulting in a call to _buildAnimation().

dart
class StaggerAnimation extends StatelessWidget {
  StaggerAnimation({super.key, required this.controller}) :

    // Each animation defined here transforms its value during the subset
    // of the controller's duration defined by the animation's interval.
    // For example the opacity animation transforms its value during
    // the first 10% of the controller's duration.

    opacity = Tween<double>(
      begin: 0.0,
      end: 1.0,
    ).animate(
      CurvedAnimation(
        parent: controller,
        curve: const Interval(
          0.0,
          0.100,
          curve: Curves.ease,
        ),
      ),
    ),

    // ... Other tween definitions ...
    );

  final AnimationController controller;
  final Animation<double> opacity;
  final Animation<double> width;
  final Animation<double> height;
  final Animation<EdgeInsets> padding;
  final Animation<BorderRadius?> borderRadius;
  final Animation<Color?> color;

  // This function is called each time the controller "ticks" a new frame.
  // When it runs, all of the animation's values will have been
  // updated to reflect the controller's current value.
  Widget _buildAnimation(BuildContext context, Widget? child) {
    return Container(
      padding: padding.value,
      alignment: Alignment.bottomCenter,
      child: Opacity(
        opacity: opacity.value,
        child: Container(
          width: width.value,
          height: height.value,
          decoration: BoxDecoration(
            color: color.value,
            border: Border.all(
              color: Colors.indigo[300]!,
              width: 3,
            ),
            borderRadius: borderRadius.value,
          ),
        ),
      ),
    );
  }

  @override
  Widget build(BuildContext context) {
    return AnimatedBuilder(
      builder: _buildAnimation,
      animation: controller,
    );
  }
}

Stateful widget: StaggerDemo

#

The stateful widget, StaggerDemo, creates the AnimationController (the one who rules them all), specifying a 2000 ms duration. It plays the animation, and builds the non-animating portion of the widget tree. The animation begins when a tap is detected in the screen. The animation runs forward, then backward.

dart
class StaggerDemo extends StatefulWidget {
  @override
  State<StaggerDemo> createState() => _StaggerDemoState();
}

class _StaggerDemoState extends State<StaggerDemo>
    with TickerProviderStateMixin {
  late AnimationController _controller;

  @override
  void initState() {
    super.initState();

    _controller = AnimationController(
      duration: const Duration(milliseconds: 2000),
      vsync: this,
    );
  }

  // ...Boilerplate...

  Future<void> _playAnimation() async {
    try {
      await _controller.forward().orCancel;
      await _controller.reverse().orCancel;
    } on TickerCanceled {
      // The animation got canceled, probably because it was disposed of.
    }
  }

  @override
  Widget build(BuildContext context) {
    timeDilation = 10.0; // 1.0 is normal animation speed.
    return Scaffold(
      appBar: AppBar(
        title: const Text('Staggered Animation'),
      ),
      body: GestureDetector(
        behavior: HitTestBehavior.opaque,
        onTap: () {
          _playAnimation();
        },
        child: Center(
          child: Container(
            width: 300,
            height: 300,
            decoration: BoxDecoration(
              color: Colors.black.withValues(alpha: 0.1),
              border: Border.all(
                color: Colors.black.withValues(alpha: 0.5),
              ),
            ),
            child: StaggerAnimation(controller:_controller.view),
          ),
        ),
      ),
    );
  }
}